Microbioma 16S
MX$1500.00
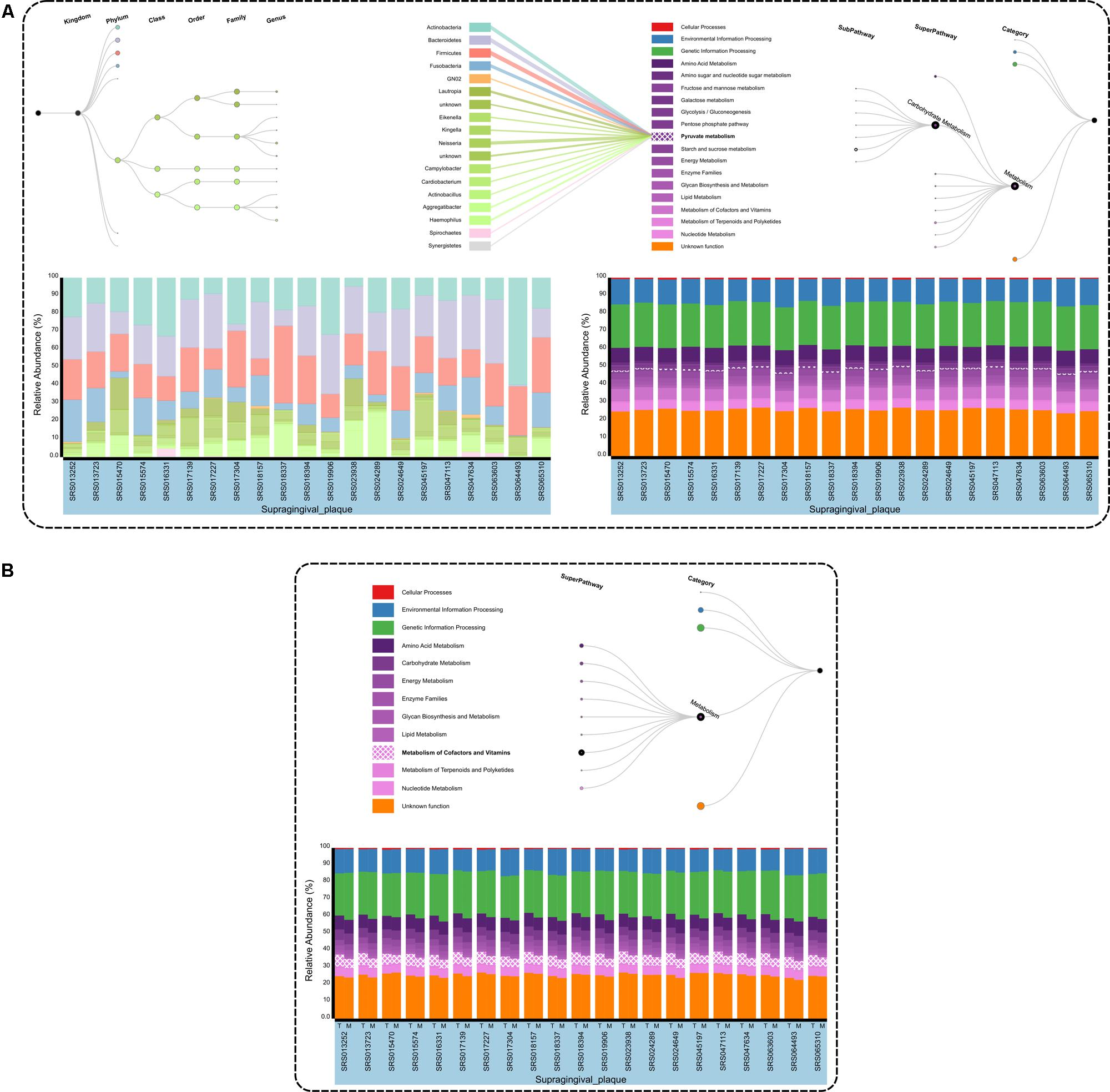
El análisis de datos de microbioma 16S permite identificar las poblaciones bacterianas y su papel en áreas como la ecología o medicina.
La secuenciación del ARNr 16S es una metodología clave para que recientemente ha pasado de ser utilizada principalmente en investigación a tener una mayor utilidad en entornos clínicos.
Nuestro curso de Microbioma 16S es impartido por expertos en la industria y academia que te guiarán a través de ejemplos prácticos y proyectos.
Aprenderás a realizar el análisis de datos utilizando dos estrategias: QIIME2 y DADA2. Aplicarás estas habilidades para analizar datos de microbioma 16S y visualizarlos realizando diferentes tipos de gráficos.
Nivel
Principiante
Requisitos
Ninguno
Fecha de inicio
Inmediato
Duración
20 horas, horario libre
MÓDULO 1 - Programación en Linux
En esta sección aprenderás los conceptos básicos de la programación en Linux y cómo se utilizan en Bioinformática.
MÓDULO 2 - Procesamiento de datos
En esta sección conocerás los principios de secuenciación masiva. Además, realizarás el control de calidad de datos, eliminación de lecturas de baja calidad mediante línea de comandos.
Módulo 3 - Análisis de datos con QIIME2
En esta sección te enseñaremos a procesar datos de Microbioma 16S con QIIME2 mediante línea de comandos. Realizarás el denoising y clustering, eliminación de quimeras, análisis de diversidad alfa y beta, clasificación taxonómica en OTUS, rarefacción, índices Shanon, Simpson, etc.
Módulo 4 - Programación en R
En esta sección, aprenderás los conceptos básicos de la programación en R y cómo se utilizan en Bioinformática. Aprenderás a instalar R y RStudio en tu computadora.
Módulo 5 - Análisis de datos con DADA2
En esta sección te enseñaremos a procesar datos de Microbioma 16S con DADA2 en R. Crearás un objeto phylose y realizarás el denoising y clustering, eliminación de quimeras, análisis de diversidad alfa y beta, clasificación taxonómica en OTUS, índices Shanon, Simpson, etc.
Horario de atención
Lun - Vie 9:00-18:00
Contacto

